Cumhur İttifakı'nın Ankara Büyükşehir Belediye Başkan adayı Turgut Altınok da, ABB Başkanı Mansur Yavaş'ın ardından mal varlığını kamuoyuna açıkladı. Sosyal medya hesabından yaptığı açıklamada, bir belediye başkanının şeffaf, doğru ve dürüst olması gerektiğini vurguladı. Altınok, açıklamasında şunları ifade etti: "Üzülerek belirtmek isterim ki, son zamanlarda mal varlığı üzerinden suni tartışmalar yapılıyor, yapacağımız hizmetlerin önüne set çekiliyor ve projelerimiz gölgelenmeye çalışılıyor. En önemlisi, sevgili Ankaralı hemşehrilerimi incittiğimi hissediyorum. Bu sebeple mal varlığımı açıklama ihtiyacı duydum. Değerli Ankaralılar, hiçbir şüpheniz olmasın. Sunmuş olduğum tüm varlıklarım, temiz ve helaldir." dedi.
22 arsa, 23 tarla,
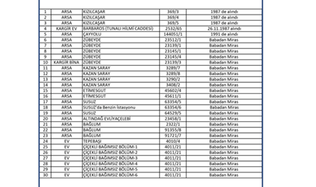
Bildirimde, çoğunluğunun anne ve babadan miras yoluyla elde edildiği ifade edilen 22 arsa, 23 tarla, 9 ev, 1 bostan, 1 bağ, 2 kargir ev ve 2 kargir bina yer aldı.
Şirket ortaklığı
Altınok, şirket ortaklığıyla ilgili açıklamasında da şunları belirtti: "Altınok Gayrimenkul AŞ adında aile şirketinde yüzde 36,59 oranında şirket ortaklığım bulunmaktadır. 1991 yılında Maviş Koç'tan aldığım arazi, 2014 yılında adı geçen aile şirketimize ayni sermaye olarak aktarıldı. Bu sebeple, şirketteki yüzde 36,59 hisse payım bu araziden kaynaklanmaktadır. Söz konusu arazi, daha sonra bir müteahhide kat karşılığı inşaat sözleşmesiyle verildi. Bu projeden elde edilen daireler bana ait değil, şirketin aktifinde kayıtlıdır. Şirket hisselerime düşen paylar ise şu şekildedir: Yüzde 36,59 hisse için 183 adet 1+1 daire, 12 dükkanın 4,4'ü, yüzde 18 hisse için 2 dükkanın 0,36'sı, yüzde 9 hisse için 3 dükkanın 0,27'si."
Altınok, Kızılcaşar arazisiyle ilgili olarak da şunları ifade etti: "1988 yılında Gölbaşı Kızılcaşar'da satın aldığım arazi, imar çalışması sonucunda 12 parçaya bölündü ve 2014 yılında 9 parseli satıldı. Geriye kalan 3 parsel, mal beyanımda bulunmaktadır."
2009'daki mal beyanında görünen Antalya'daki dairenin daha sonra satıldığını belirten Altınok, anne ve babadan kalan gayrimenkullerde miras sebebiyle hisselerinin değiştiğini ve Etimesgut ilçesinde babasından miras kalan daire ve arsaların çeşitli tarihlerde satıldığını aktardı.
Ankara'nın en zengin belediye başkanı
Dün Habertürk'te katıldığı yayında mal varlığıyla ilgili soruya cevap veren Turgut Altınok, "94 yılında aday olduğumda bir gazetenin başlığı 'Ankara'nın en zengin belediye başkanı' şeklindeydi. Ancak mülk bizim değil, hepsi Allah'ın. Tüm varlıklar emanet, biz sadece emanetçisiyiz" şeklinde ifadeler kullandı.
Herkes kendinden şüphe etmeli, ancak benden değil
Aynı zamanda, Turgut Altınok, Kırşehir Dernekler Federasyonu tarafından Altındağ Kültür Sarayı'nda düzenlenen iftar programına katıldı. Gazetecilerin çıkışta mal varlığı beyanıyla ilgili sorularını cevaplayan Altınok, şunları belirtti: "Herkes kendinden şüphe etmeli, ancak benden değil. Bizim için şüphe yok. Mal varlığı aksine azalmıştır, artmamıştır. Mal varlığı, mal varlığı, mal varlığı... Zaten 3628 sayılı yasa gereği mal varlığını açıklamak zorundayız. Eğer yeni bir mülk alırsanız, kendinize veya eşinize onu da bir ay içinde bildirmek zorundasınız. Herkes belediye başkanı olmadan önceki mal varlığını açıklasın. Sonradan bulduğumuz hazineler veya soyunun paşa torunu olduğumuz gibi iddialarımız yok. Ben 20 yıldır belediye başkanıyım ve beytülmalı yönetiyorum. Ailem bile makam aracıma binmemiştir. 20 yıldır belediyeden tek bir kuruş harcırah almadım. Biz dürüstüz. Hayatımız ve iş anlayışımız hep şeffaf ve temiz olmuştur." dedi.
















